In R, error metrics are essential tools used in machine learning, statistics, and data analysis to evaluate the performance of models. These metrics quantify the difference between predicted values and actual values. Below are some of the common error metrics used in regression and classification problems:
1. Mean Absolute Error (MAE)
Formula:

where yi is the actual value and yi^yi^ is the predicted value.
R Code
# Function to calculate MAE
mae <- function(actual, predicted) {
mean(abs(actual – predicted))
}
# Example usage
actual <- c(3, -0.5, 2, 7)
predicted <- c(2.5, 0.0, 2, 8)
mae(actual, predicted)
Interpretation:
2. Mean Squared Error (MSE)

R Code
# Function to calculate MSE
mse <- function(actual, predicted) {
mean((actual – predicted)^2)
}
# Example usage
mse(actual, predicted)
Interpretation:
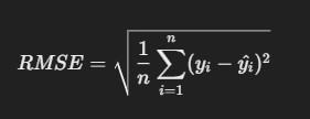
3. Root Mean Squared Error (RMSE)
Formula

R Code:
# Function to calculate RMSE
rmse <- function(actual, predicted) {
sqrt(mean((actual – predicted)^2))
}
# Example usage
rmse(actual, predicted)
Interpretation:
4. R-squared (R²)
Formula

where yˉ is the mean of the actual values..
R Code
where yˉ is the mean of the actual values..
# Function to calculate R²
rsq <- function(actual, predicted) {
1 – sum((actual – predicted)^2) / sum((actual – mean(actual))^2)
}
# Example usage
rsq(actual, predicted)
Interpretation:
5. Adjusted R-squared
Formula:

where n is the number of data points and pp is the number of predictors.
R Code:
# Example using a linear model
model <- lm(mpg ~ wt + hp, data = mtcars) summary(model)$adj.r.squared
Interpretation:
Adjusted R² is better for comparing models with different numbers of predictors, as it accounts for model complexity.
6. Mean Absolute Percentage Error (MAPE)
Formula:

R Code
# Function to calculate MAPE
mape <- function(actual, predicted) { mean(abs((actual – predicted) / actual)) * 100
}
# Example usage
mape(actual, predicted)
Interpretation:
7. Logarithmic Loss (LogLoss)
uncertainty of predictions by penalizing wrong classifications with a higher penalty when confidence is high.
Formula:

where yi is the actual class (0 or 1), and pi is the predicted probability for class 1.
R Code
where yi is the actual class (0 or 1), and pi is the predicted probability for class 1.
# Function to calculate LogLoss
logloss <- function(actual, predicted_prob) {
-mean(actual * log(predicted_prob) + (1 – actual) * log(1 -predicted_prob))
}
# Example usage
actual <- c(1, 0, 1, 1, 0)
predicted_prob <- c(0.9, 0.1, 0.8, 0.7, 0.2)
logloss(actual, predicted_prob)
Interpretation:
8. Confusion Matrix & Related Metrics (for Classification Problems)
Description: A confusion matrix provides a summary of the classification performance by showing the counts of true positives, false positives, true negatives, and false negatives.
R Code:
# Example using the caret package
library(caret)
actual <- factor(c(1, 0, 1, 1, 0))
predicted <- factor(c(1, 0, 1, 0, 0))
confusionMatrix(predicted, actual)
