In R programming, covariance and correlation are used to measure the relationship between two variables. Covariance measures the degree to which two variables change together, while correlation is a standardized measure of covariance that ranges from -1 to 1, indicating the strength and direction of the relationship.
In R, you can use the cov() function to calculate covariance between two variables. Here’s a basic
Example:
# Creating two vectors
x <- c(1, 2, 3, 4, 5)
y <- c(2, 4, 6, 8, 10)
# Calculating covariance between x and y
covariance <- cov(x, y)
print(covariance)
In this example, we create two vectors x and y, and then calculate their covariance using the cov() function. The result will be printed to the console.
If you have a dataset with multiple variables and want to calculate the covariance between all the variables, you can simply pass the entire dataset (in the form of a data frame) to the cov() function. Here’s an example using the built-in mtcars dataset:
# Load the built-in mtcars dataset
data(mtcars)
# Calculate the covariance matrix for the mtcars dataset
cov_matrix <- cov(mtcars)
print(cov_matrix)
In this example, we calculate the covariance matrix for all the variables in the mtcars dataset and print the resulting matrix to the console.
In R, you can use the cor() function to calculate the correlation between two variables. Here’s a basic
Example 2:
# Creating two vectors
x <- c(1, 2, 3, 4, 5)
y <- c(2, 4, 6, 8, 10)
# Calculating correlation between x and y
correlation <- cor(x, y)
print(correlation)
In this example, we create two vectors x and y, and then calculate their correlation using the cor() function. The result will be printed to the console.
If you have a dataset with multiple variables and want to calculate the correlation between all the variables, you can simply pass the entire dataset (in the form of a data frame) to the cor() function. Here’s an example using the built-in mtcars dataset:
# Load the built-in mtcars dataset
data(mtcars)
# Calculate the correlation matrix for the mtcars dataset
cor_matrix <- cor(mtcars)
print(cor_matrix)
In this example, we calculate the correlation matrix for all the variables in the mtcars dataset and print the resulting matrix to the console.
Keep in mind that the cor() function calculates the Pearson correlation coefficient by default. If you want to compute the Spearman or Kendall correlation coefficient, you can specify the method argument:
# Calculate the Spearman correlation coefficient
spearman_cor_matrix <- cor(mtcars, method = “spearman”)
print(spearman_cor_matrix)
# Calculate the Kendall correlation coefficient
kendall_cor_matrix <- cor(mtcars, method = “kendall”)
print(kendall_cor_matrix)
Now you know that to calculate covariance and correlation in R, you can use the built-in functions cov() and cor() respectively.
Here’s another example using two sample datasets, x and y:
# Create sample data
x <- c(1, 2, 3, 4, 5)
y <- c(2, 4, 6, 8, 10)
# Calculate covariance
covariance <- cov(x, y)
print(paste(“Covariance:”, covariance))
# Calculate correlation
correlation <- cor(x, y)
print(paste(“Correlation:”, correlation))
In this example, we create two sample datasets, x and y, and use the cov() and cor() functions to compute their covariance and correlation, respectively.
The output would be:
“Covariance: 5”
“Correlation: 1”
The covariance of 5 indicates that x and y change together, and the correlation of 1 indicates a perfect positive relationship between x and y.
Keep in mind that correlation coefficients are more interpretable than covariance values since they’re standardized, while covariance values can be harder to interpret due to their dependence on the units of the variables.
Example 1: Perfect negative correlation
x1 <- c(1, 2, 3, 4, 5)
y1 <- c(5, 4, 3, 2, 1)
covariance1 <- cov(x1, y1)
correlation1 <- cor(x1, y1)
print(paste(“Covariance 1:”, covariance1))
print(paste(“Correlation 1:”, correlation1))
Output:
“Covariance 1: -2.5”
“Correlation 1: -1”
Example 2: Weak positive correlation
x2 <- c(1, 2, 3, 4, 5)
y2 <- c(3, 5, 6, 8, 10)
covariance2 <- cov(x2, y2)
correlation2 <- cor(x2, y2)
print(paste(“Covariance 2:”, covariance2))
print(paste(“Correlation 2:”, correlation2))
Output:
“Covariance 2: 4”
“Correlation 2: 0.8”
Example 3: No correlation
x3 <- c(1, 2, 3, 4, 5)
y3 <- c(5, 3, 2, 4, 1)
covariance3 <- cov(x3, y3)
correlation3 <- cor(x3, y3)
print(paste(“Covariance 3:”, covariance3))
print(paste(“Correlation 3:”, correlation3))
Output:
“Covariance 3: 0”
“Correlation 3: 0”
In these examples, we created datasets with different relationships between the variables: perfect negative correlation (Example 1), weak positive correlation (Example 2), and no correlation (Example 3). The cov() and cor() functions help identify the nature of the relationship between the variables in each case.
To convert a covariance matrix to a correlation matrix in R, you can use the following steps. We’ll use the cov2cor() function, which is part of the base R package.
1. First, create a covariance matrix or use an existing one. For this example, let’s create a covariance matrix using the cov() function:
# Create a sample data frame
data <- data.frame(a = rnorm(10), b = rnorm(10), c = rnorm(10))
# Calculate the covariance matrix
cov_matrix <- cov(data)
print(cov_matrix)
2. Now, use the cov2cor() function to convert the covariance matrix to a correlation matrix:
# Convert the covariance matrix to a correlation matrix
cor_matrix <- cov2cor(cov_matrix)
print(cor_matrix)
That’s it! The cor_matrix variable now contains the correlation matrix converted from the covariance matrix.
cor() function with an additional method parameter . In R, the cor() function can take an additional method parameter to specify the type of correlation coefficient to compute. There are three primary methods: “pearson” (default), “kendall”, and “spearman”. Here are examples of calculating correlation coefficients using these different methods:
Example 1: Perfect positive correlation with different methods
x <- c(1, 2, 3, 4, 5)
y <- c(2, 4, 6, 8, 10)
cor_pearson <- cor(x, y, method = “pearson”)
cor_kendall <- cor(x, y, method = “kendall”)
cor_spearman <- cor(x, y, method = “spearman”)
print(paste(“Pearson correlation:”, cor_pearson))
print(paste(“Kendall correlation:”, cor_kendall))
print(paste(“Spearman correlation:”, cor_spearman))
Output:
“Pearson correlation: 1”
“Kendall correlation: 1”
“Spearman correlation: 1”
Example 2: Weak negative correlation with different methods
x <- c(1, 2, 3, 4, 5)
y <- c(10, 8, 7, 5, 3)
cor_pearson <- cor(x, y, method = “pearson”)
cor_kendall <- cor(x, y, method = “kendall”)
cor_spearman <- cor(x, y, method = “spearman”)
print(paste(“Pearson correlation:”, cor_pearson))
print(paste(“Kendall correlation:”, cor_kendall))
print(paste(“Spearman correlation:”, cor_spearman))
Output:
“Pearson correlation: -0.898026511134676”
“Kendall correlation: -0.799999999999999”
“Spearman correlation: -0.999999999999999”
In these examples, we calculate the correlation coefficients using Pearson, Kendall, and Spearman methods. Pearson correlation is the default method and measures the linear relationship between variables, while Kendall and Spearman correlation coefficients are rank-based and measure the monotonic relationship between variables. The choice of method depends on the nature of the data and the desired analysis.
cov() function with an additional method parameter
cov(x, y, method) in R is a function that computes the covariance between two vectors x and y. The method parameter allows you to specify the method used to calculate the covariance.
# Example 1: Using the default method to calculate the covariance between two vectors x and y
x <- c(1, 2, 3, 4, 5)
y <- c(6, 7, 8, 9, 10)
cov(x, y)
# Example 2: Using the "pearson" method to calculate the Pearson correlation coefficient between two vectors x and y
x <- c(1, 2, 3, 4, 5)
y <- c(6, 7, 8, 9, 10)
cov(x, y, method = “pearson”)
# Example 3: Using the "kendall" method to calculate the Kendall rank correlation coefficient between two vectors x and y
x <- c(1, 2, 3, 4, 5)
y <- c(6, 7, 8, 9, 10)
cov(x, y, method = “kendall”)
# Example 4: Using the "spearman" method to calculate the Spearman rank correlation coefficient between two vectors x and y
x <- c(1, 2, 3, 4, 5)
y <- c(6, 7, 8, 9, 10)
cov(x, y, method = “spearman”)
Covariance is the statistical measure that depicts the relationship between a pair of random variables that shows how the change in one variable causes changes in another variable. It is a measure of the degree to which two variables are linearly associated.
A covariance matrix is a square matrix that shows the covariance between different variables of a data frame. This helps us in understanding the relationship between different variables in a dataset.
To create a Covariance matrix from a data frame in the R Language, we use the cov() function. The cov() function forms the variance-covariance matrix. It takes the data frame as an argument and returns the covariance matrix as result.
Syntax:
cov( df )
Parameter:
A positive value for the covariance matrix indicates that two variables tend to increase or decrease sequentially. A negative value for the covariance matrix indicates that as one variable increases, the second variable tends to decrease.
Example 1: Create Covariance matrix
R
# create sample data frame
sample_data <- data.frame( var1 = c(86, 82, 79, 83, 66),
var2 = c(85, 83, 80, 84, 65),
var3 = c(107, 127, 137, 117, 170))
# create covariance matrix
cov( sample_data )
Output:
Correlation is a statistical measure that indicates how strongly two variables are related. It involves the relationship between multiple variables as well. For instance, if one is interested to know whether there is a relationship between the heights of fathers and sons, a correlation coefficient can be calculated to answer this question. Generally, it lies between -1 and +1. It is a scaled version of covariance and provides the direction and strength of a relationship. Correlation coefficient test in R
Pearson Correlation Testing in R
There are mainly two types of correlation:
Pearson Rank Correlation Coefficient Formula
Pearson Rank Correlation is a parametric correlation. The Pearson correlation coefficient is probably the most widely used measure for linear relationships between two normal distributed variables and thus often just called “correlation coefficient”. The formula for calculating the Pearson Rank
Correlation is as follows:
The Pearson Rank Correlation Coefficient, also known as Pearson’s r, measures the linear relationship between two variables. The formula is:

Where:
This formula assesses how closely two sets of data points move together.
Note:
R Programming Language provides two methods to calculate the pearson correlation coefficient. By using the functions cor() or cor.test() it can be calculated. It can be noted that cor() computes the correlation coefficient whereas cor.test() computes the test for association or correlation between
paired samples. It returns both the correlation coefficient and the significance level(or p-value) of the correlation.
Syntax: cor(x, y, method = “pearson”)
cor.test(x, y, method = “pearson”)
Parameters:
library(ggplot2)
# Scatter plot with correlation coefficient
ggplot(data = df, aes(x = weight, y = mpg)) +
geom_point() +
geom_smooth(method = “lm”, se = FALSE, color = “blue”) +
annotate(“text”, x = mean(df$weight), y = max(df$mpg),
label = paste(“Correlation =”, round(correlation, 2)),
color = “red”, hjust = 0, vjust = 1) +
labs(title = “Scatter Plot of MPG vs. Weight with Correlation Coefficient”,
x = “Weight”, y = “MPG”) +
theme_minimal()
Output:

In this code, The geom_smooth() function with method = “lm” fits a linear model to the data. in the scatter plot calculated Pearson correlation coefficient. Adjust the position and appearance of the text as needed. The color of the annotation text is set to red for visibility. The resulting plot will give you both a visual representation of the relationship and the numeric correlation coefficient.
In statistics, correlation Refers to the strength and direction of a relationship between two variables. The value of a correlation coefficient can range from -1 to 1, with the following interpretations:
One special type of correlation is called Spearman Rank Correlation, which is used to measure the correlation between two ranked variables. (e.g. rank of a student’s math exam score vs. rank of their science exam score in a class).
To calculate the Spearman rank correlation between two variables in R, we can use the following basic syntax:
corr <- cor.test(x, y, method = ‘spearman’)
The following examples show how to use this function in practice.
Example 1: Spearman Rank Correlation Between Vectors
The following code shows how to calculate the Spearman rank correlation between two vectors in R:
#define data
x <- c(70, 78, 90, 87, 84, 86, 91, 74, 83, 85)
y <- c(90, 94, 79, 86, 84, 83, 88, 92, 76, 75)
#calculate Spearman rank correlation between x and y
cor.test(x, y, method = ‘spearman’)
Spearman’s rank correlation rho
data: x and y
S = 234, p-value = 0.2324
alternative hypothesis: true rho is not equal to 0
sample estimates:
rho
-0.4181818
From the output we can see that the Spearman rank correlation is -0.41818 and the corresponding p-value is 0.2324.
This indicates that there is a negative correlation between the two vectors.
However, since the p-value of the correlation is not less than 0.05, the correlation is not statistically significant.
Example 2: Spearman Rank Correlation Between Columns in Data Frame
The following code shows how to calculate the Spearman rank correlation between two column in a data frame:
#define data frame
df <- data.frame(team=c(‘A’, ‘B’, ‘C’, ‘D’, ‘E’, ‘F’, ‘G’, ‘H’, ‘I’, ‘J’),
points=c(67, 70, 75, 78, 73, 89, 84, 99, 90, 91),
assists=c(22, 27, 30, 23, 25, 31, 38, 35, 34, 32))
#calculate Spearman rank correlation between x and y
cor.test(df$points, df$assists, method = ‘spearman’)
Spearman’s rank correlation rho
data: df$points and df$assists
S = 36, p-value = 0.01165
alternative hypothesis: true rho is not equal to 0
sample estimates:
rho
0.7818182
From the output we can see that the Spearman rank correlation is 0.7818 and the corresponding p- value is 0.01165.
This indicates that there is a strong positive correlation between the two vectors.
Since the p-value of the correlation is less than 0.05, the correlation is statistically significant.
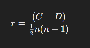
Kendall’s rank correlation provides a distribution free test of independence and a measure of the strength of dependence between two variables.
The Kendall Rank Correlation Coefficient, also known as Kendall’s Tau (τ), measures the ordinal association between two variables. In R, you can calculate Kendall’s Tau using the cor() function. Here’s how to do it:
Formula for Kendall’s Tau:
Kendall’s Tau is based on the number of concordant and discordant pairs in the data. The formula is:

Where:
In R, you can calculate it as follows:
# Sample data
x <- c(1, 2, 3, 4, 5)
y <- c(5, 6, 7, 8, 7)
# Calculate Kendall’s Tau
tau <- cor(x, y, method = “kendall”)
# Display result
tau
This function returns a value between -1 and 1:
Spearman’s rank correlation is satisfactory for testing a null hypothesis of independence between two variables but it is difficult to interpret when the null hypothesis is rejected. Kendall’s rank correlation improves upon this by reflecting the strength of the dependence between the variables being compared
